[BOJ 알고리즘, C++] #15649_N과 M(1), 깊이 우선 탐색
BOJ 알고리즘 문제 풀이, 15649_N과 M (1)
깊이 우선 탐색을 통해 중복이 없는 수열의 개수를 구합니다.
# 문제


# 풀이
1. 깊이 우선 탐색(DFS)
루트 노드 혹은 임의의 노드에서 시작해서 다음 분기로 넘어가기 전에, 해당 분기를 완벽하게 탐색하는 방법입니다.
2. DFS의 특징
- 자기 자신을 호출하는 순환 알고리즘의 형태이다.
- 어떤 노드를 방문했었는지 방문 여부를 반드시 검사해야 합니다.
- 너비 우선 탐색보다 간단합니다.
- 검색 속도 자체는 너비 우선 탐색에 비해 느립니다.
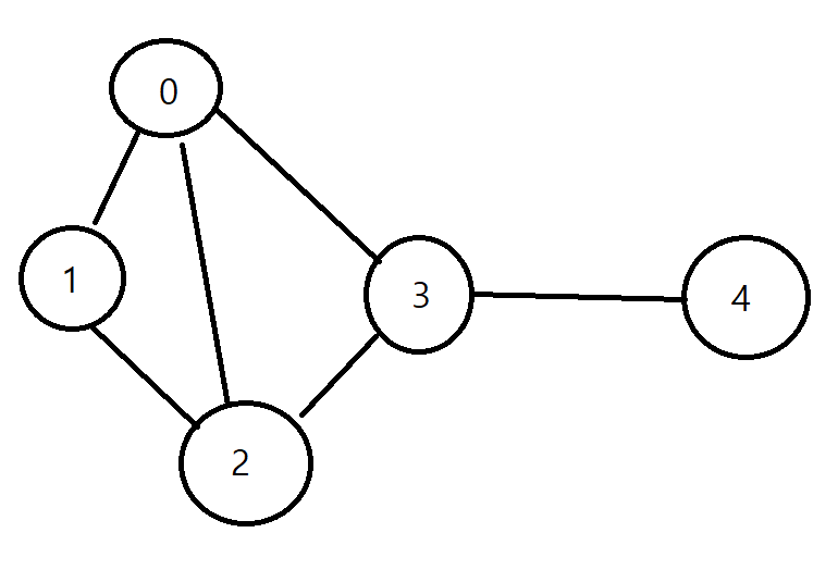
3. 예제

- 0번 노드를 시작으로 깊이 우선 탐색을 시작합니다.
- 0번과 인접한 노드들을 순차적으로 순회합니다.
- 0번과 인접한 1번 노드를 방문합니다. 이때, 다음 인접한 노드를 방문하기 전에, 1번 노드의 탐색을 먼저 완료합니다.
- 다시, 1번 노드를 시작으로 깊이 우선 탐색을 시작합니다.
- 위 작업을 반복하며, 4번 노드에 방문합니다.
- 4번 노드의 인접 노드가 더 이상 없으므로, 다시 3번 노드로 돌아가 다음 인접 노드를 찾습니다.
- 이 과정을 반복하며, 0번 정점으로 백트래킹을 진행하고, 더 이상 방문하지 않은 정점이 없을 때, 알고리즘은 끝납니다.
3. 의사 코드
void DFS(Node root)
{
if (root == NULL)
return;
visit(root);
root.visited = true;
for (auto n : root.adjacents)
{
if (n.visited == false)
DFS(n);
}
}
Details
- 루트 노드를 시작으로 DFS를 시작합니다.
- 루트 노드의 방문 여부를 반드시 체크합니다.
- 다음으로 인접 노드들을 방문합니다.
- 첫 번째 인접 노드에 대한 DFS를 온전히 수행하고, 다음 인접 노드에 대한 DFS를 수행합니다!
# 코드
#include <iostream>
#include <vector>
#include <algorithm>
using namespace std;
int N, M;
int arr[9] = {
0,
};
bool visited[9] = {
0,
};
void dfs(int cnt)
{
// 수열, 즉 arr의 원소 갯수가 "M"이 되면 출력합니다.
if (cnt == M)
{
for (int i = 0; i < M; i++)
cout << arr[i] << ' ';
cout << '\n';
return;
}
for (int i = 1; i <= N; i++)
{
// 방문한적이 없다면, 수열에 붙여넣고, 재귀 호출을 실행합니다.
if (visited[i] == false)
{
visited[i] = true;
arr[cnt] = i;
dfs(cnt + 1);
visited[i] = false;
}
}
}
int main()
{
cin >> N >> M;
dfs(0);
}
Details
- 위 코드에서 "count"를 단순히 정점의 위치라고 생각하면 간단합니다.
- 0번 정점을 시작으로, 인접 노드들을 순차적으로 방문합니다.
- 방문 여부는 Boolean 배열을 통해 확인합니다.
- 이때, 어느 한 정점의 재귀 호출이 끝나는 시점에 다음 정점으로 넘어가는 것이 주요합니다.
'문제 풀이 > BOJ 문제 풀이' 카테고리의 다른 글
| [BOJ알고리즘, C++]#14889_스타트와 링크, DFS, 깊이 우선 탐색 (0) | 2022.10.24 |
|---|---|
| [BOJ알고리즘, C++]#9663_N-Queen 문제, 백 트래킹 (0) | 2022.10.24 |
| [BOJ알고리즘, C++]#10816_숫자 카드2, lower_bound, upper_bound (0) | 2022.09.25 |
| [BOJ알고리즘, C++]#10815_숫자 카드, 이진 탐색, Binary Search (0) | 2022.09.06 |
| [BOJ알고리즘, C++]#1008_A/B, C++ 부동 소수점, precision(), fixed (0) | 2022.09.04 |